All official European Union website addresses are in the europa.eu domain.
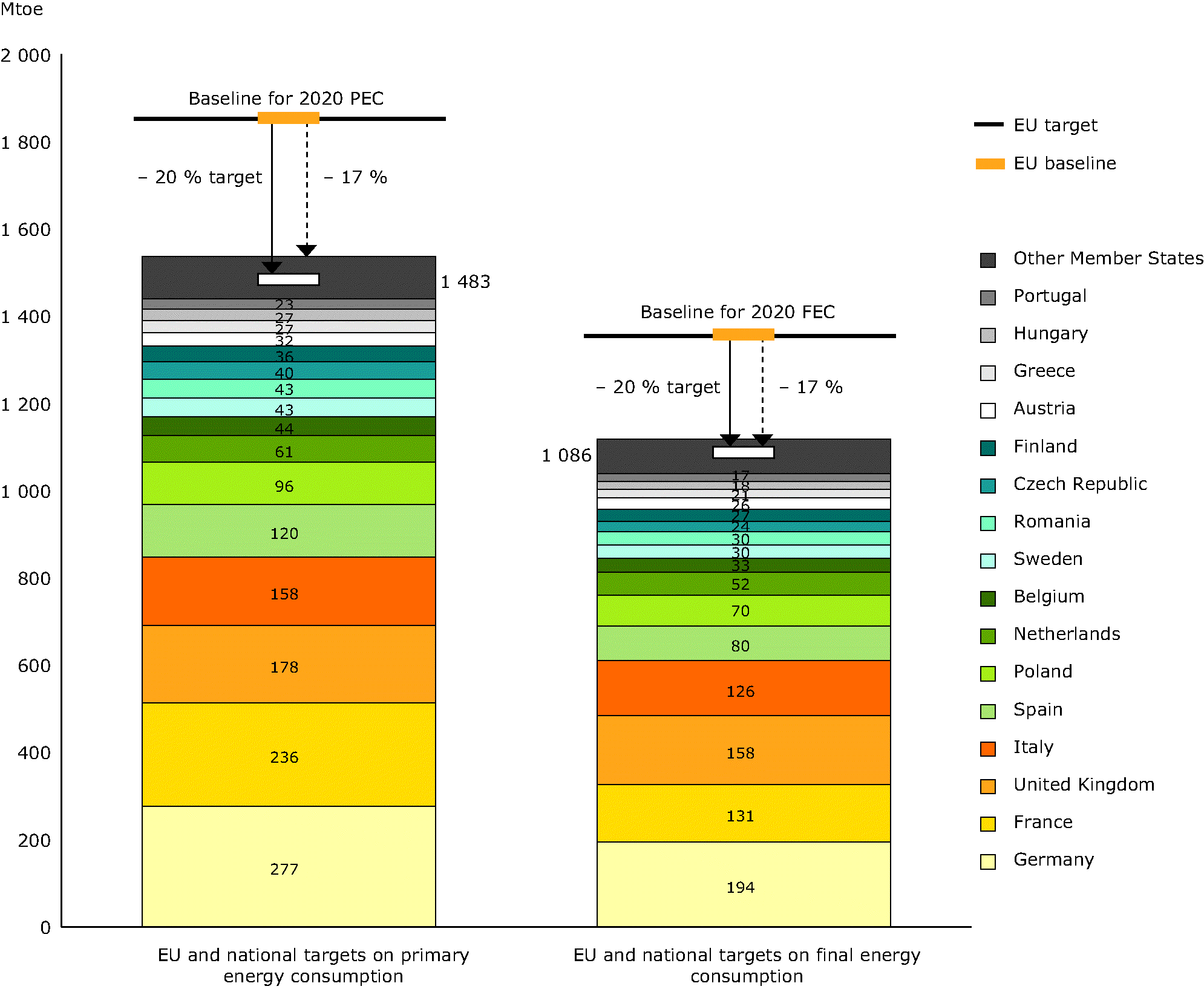
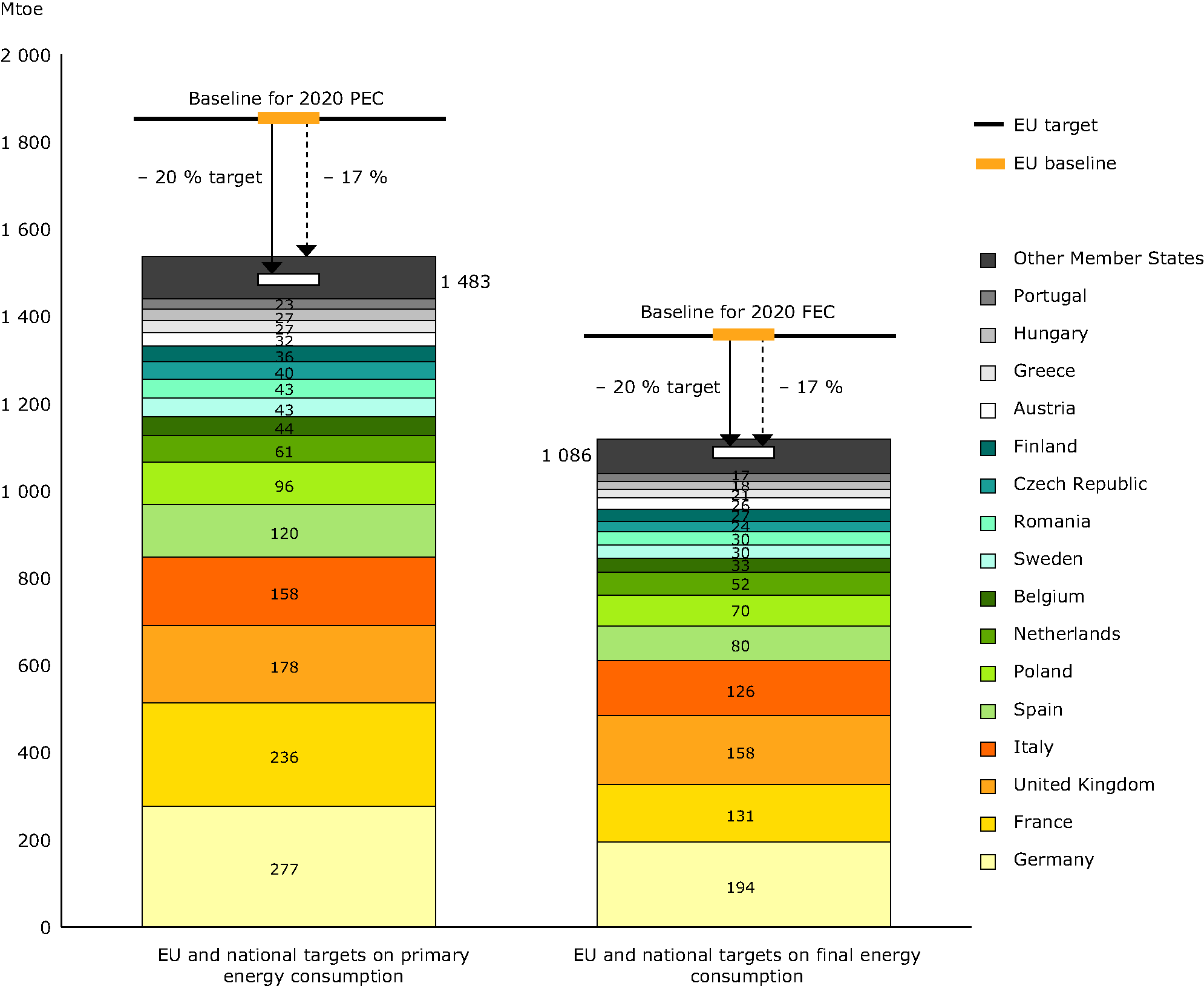
See all EU institutions and bodiesTaken together the figure shows that the sum of all individual 2020 targets from Member States’ for their primary energy consumption add up to an overall EU level which remains 3 % higher than the target defined for the EU under the Energy Efficiency Directive (EED). For final energy consumption, the sum of Member States individual targets is by 0.3 % higher than the reduction level defined in the EED.
Loading
