next
previous
items

Figure

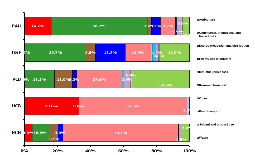
Sector split of emissions of selected POPs in 2010 (EEA member countries)

Figure Created 20 Dec 2012 Published 20 Dec 2012 Last modified 26 Aug 2017
1 min read
This is an old version, kept for reference only.

Go to latest version
This page was archived on 26 Aug 2017 with reason: A new version has been published
The contribution made by different sectors in 2010 to emissions of: HCB - hexachlorobenzene, HCH - hexachlorocyclohexane, PCBs - polychlorinated biphenyls; dioxins & furans; and PAHs - polyaromatic hydrocarbons.

----

Download

European data

Metadata

Additional information

Data for Austria, Belgium, Cyprus, Czech Republic, Denmark, Iceland, Lithuania, Norway, Poland, Slovakia, Slovenia and Spain not available for some pollutants.

Permalinks

Geographic coverage

Temporal coverage

Document Actions