All official European Union website addresses are in the europa.eu domain.
See all EU institutions and bodies- БългарскиBG
- češtinaCS
- HrvatskiHR
- danskDA
- NederlandsNL
- ελληνικάEL
- EnglishEN
- eestiET
- SuomiFI
- FrançaisFR
- DeutschDE
- magyarHU
- ÍslenskaIS
- italianoIT
- LatviešuLV
- lietuviųLT
- MaltiMT
- NorskNO
- polskiPL
- PortuguêsPT
- RomânăRO
- slovenčinaSK
- SlovenščinaSL
- EspañolES
- SvenskaSV
- TürkçeTR
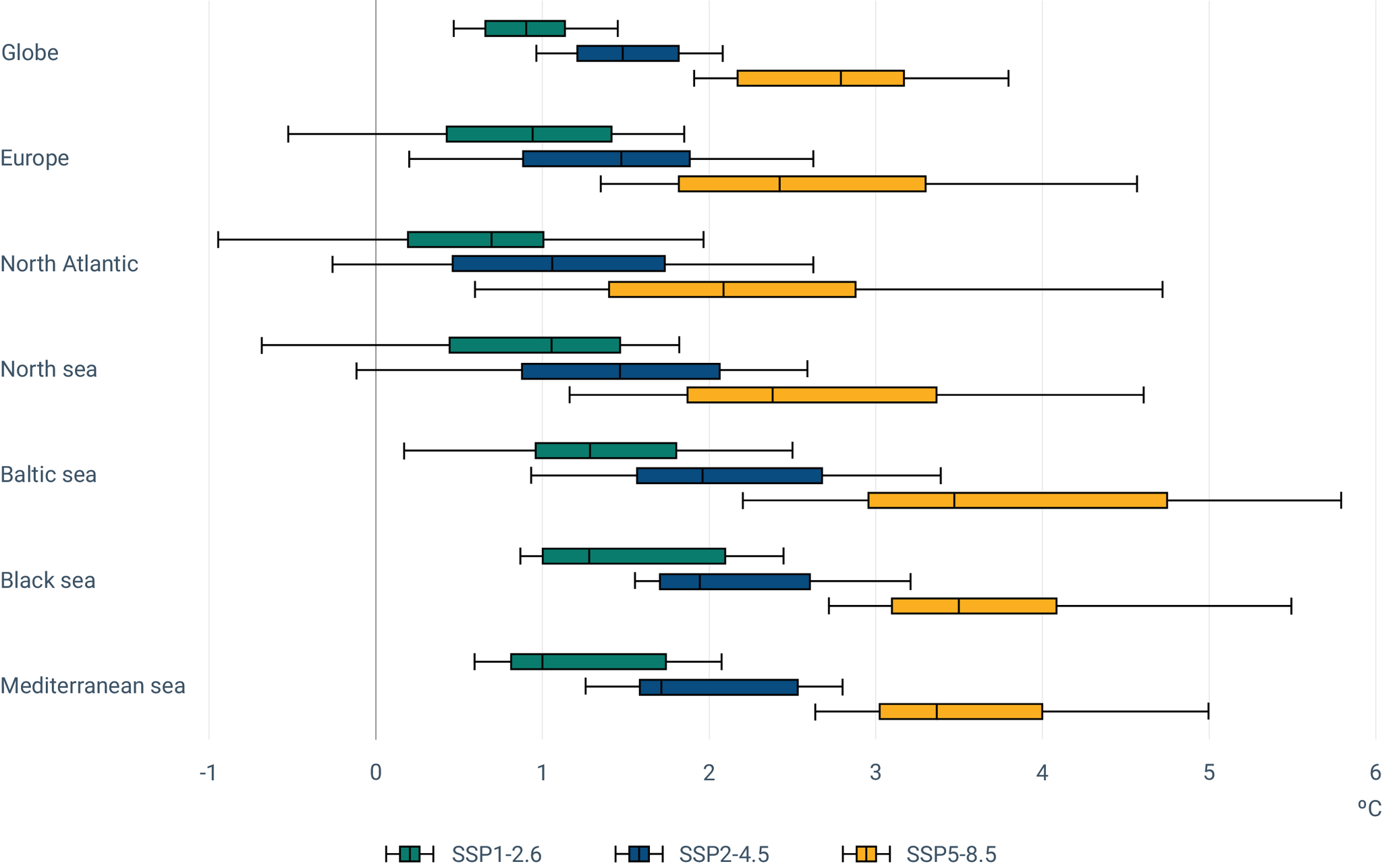
Projected sea surface temperature anomalies under different SSP scenarios for European seas and global ocean
Chart (static)
European basins, Europe and Global 2071-2100 sea surface temperature warmings (ºC) of all the CMIP6 models ensemble presented in box plots (compared to 1991-2010 climatologies). Horizontal colored bars show the 25th, mean and 75th percentile. The results are considered under three different scenarios: SSP1-2.6, SSP2-4.5 and SSP5-8.5.

- CMIP6 models- Sea Surface Temperature - SSP5-8.5
- CMIP6 models- Sea Surface Temperature - SSP2-4.5
- CMIP6 models- Sea Surface Temperature - SSP1-2.6
- Arctic Ocean
- Atlantic Ocean
- Baltic Sea
- Black Sea
- Earth
- Eastern Mediterranean
- Europe
- Indian Ocean
- North Atlantic Ocean
- North Sea
- Pacific Ocean
- Western Mediterranean
Methodology
CMIP6 models (32 for SSP1-2.6, 32 for SSP2-4.5 and 22 for SSP5-8.5) are spatially averaged in their native grid for each of the European seas and the global ocean. The anomaly is computed against the model's period 1991-2010, then the 30-year climatology for 2070-2100 of each model is included to construct the boxplots showing 5th, 25th, 50th, 75th and 95th percentiles.
SSP scenarios (Shared Socioeconomic Pathways) are the new scenarios representing different socio-economic developments as well as different pathways of atmospheric greenhouse gas concentrations. Five narratives describe different path of economy and society (SSP1-SSP5) from the sustainable and “green” pathway (SSP1) to fossil-fueled development and integration of global markets (SSP5). Individual scenarios are followed by two numerals indicating the additional radiative forcing achieved by the year 2100 in units of watts per square meter. For the sake of simplicity, only scenarios SSP1-2.6, SSP2-4.5 and SSP5-8.5 are used in Figure 2.
The areas used for the regional seas are the following:
• Europe: 35°-70°N, 25°W-40°E
• Baltic Sea: 52.5°-67.5°N, 8.5°-30.5°E
• Black Sea: 39.5°-48.5°N, 27.5°W-42.5°E
• Mediterranean: 30.5°-46.5°N, 6.5°W-38.5°E
• North Sea area 50.5°-60.5°N, 5.5°W-9.5°E