All official European Union website addresses are in the europa.eu domain.
See all EU institutions and bodiesAn official website of the European Union | How do you know?
Environmental information systems
EN
- БългарскиBG
- češtinaCS
- HrvatskiHR
- danskDA
- NederlandsNL
- ελληνικάEL
- EnglishEN
- eestiET
- SuomiFI
- FrançaisFR
- DeutschDE
- magyarHU
- ÍslenskaIS
- italianoIT
- LatviešuLV
- lietuviųLT
- MaltiMT
- NorskNO
- polskiPL
- PortuguêsPT
- RomânăRO
- slovenčinaSK
- SlovenščinaSL
- EspañolES
- SvenskaSV
- TürkçeTR
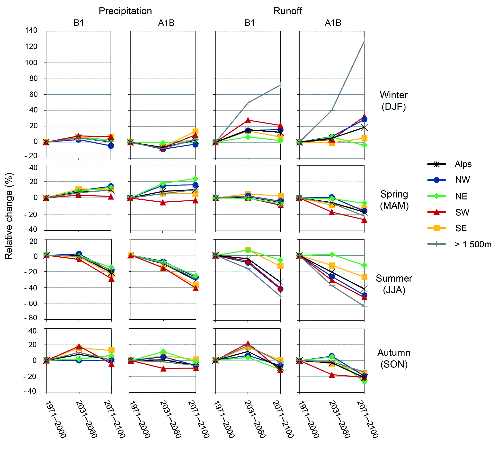
Changes in seasonal precipitation and run-off according to different emission scenarios in CLM
Chart (static)
Left: relative difference in water available for runoff

Downloads
Data sources
Metadata
More info
Loading
Right: relative difference in days with snow cover. Regional statistics: G = Greater Alpine Region, A = Alps, NW = north-western Alps, NE = north-eastern Alps, SW = southwestern Alps, SE = southeastern Alps, H = higher than 1 500 m.